Últimas Notícias
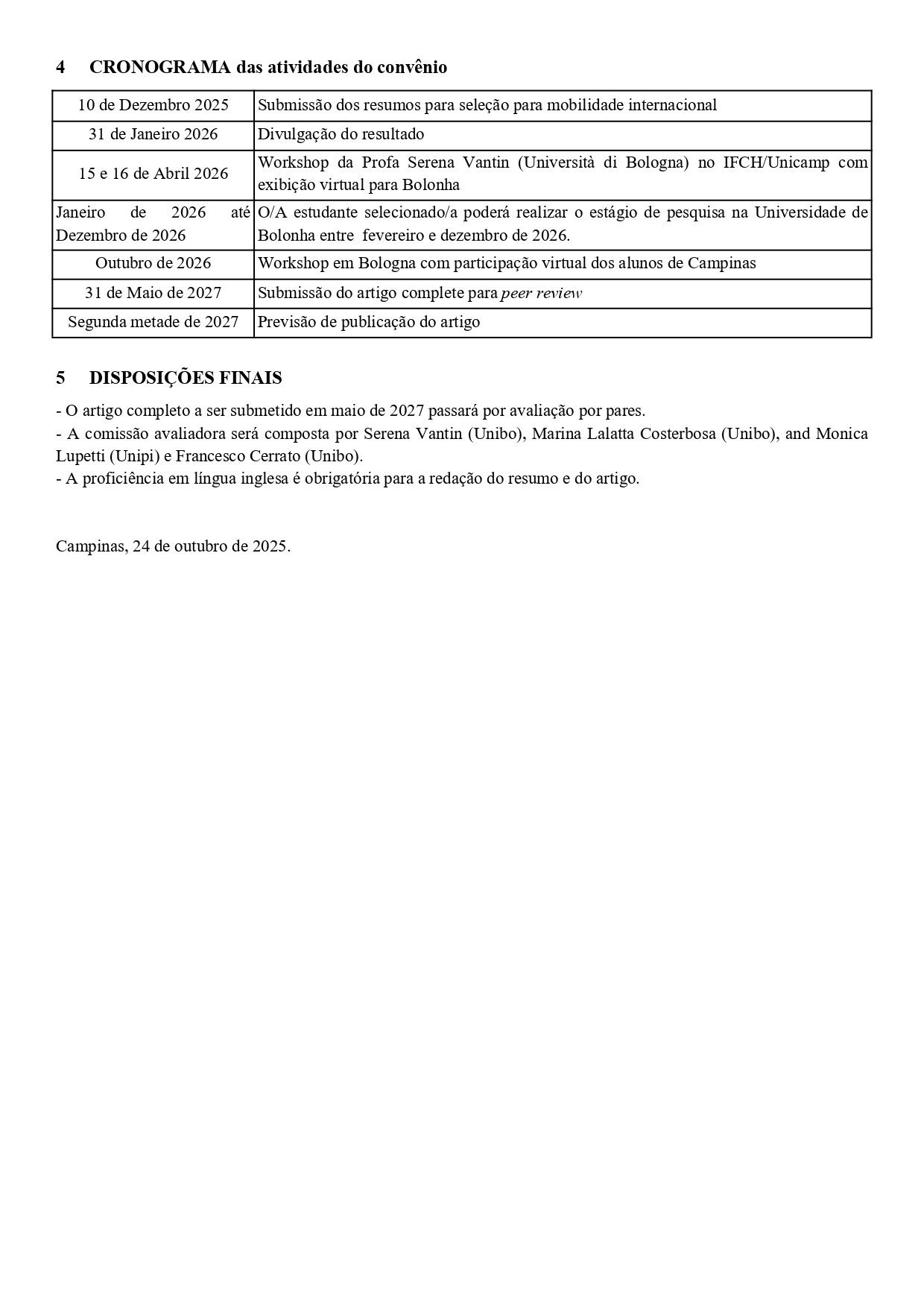
Chamada para mobilidade acadêmica PROJETO TAHR - Thinking and Acting on Human Rights: an Ongoing History


Nota de pesar - falecimento do Prof. Márcio Augusto Damin Custódio
A pós-graduação do IFCH recebeu com imensa tristeza a notícia do falecimento do professor Márcio Augusto Damin Custódio. Márcio foi coordenador do Programa de Pós-graduação em Filosofia de 2018 a 2022.
Comissão do Programa Processo Seletivo 2024-2025 - Filosofia
A Comissão do Programa para o processo seletivo 2024-2025 de Filosofia, será presidida pela Profa. Dra. Monique Hulshof (titular) Coordenadora do PPGF, contando com os seguintes membros titulares: Prof. Dr. Marcelo Esteban Coniglio; Profa. Dra. Yara Frateschi; Prof. Dr. Lucas Angioni; Prof. Dr. Márcio Damin Custódio e pelos suplentes: Prof. Dr. Marco Antonio Caron Ruffino; Prof. Dr.
Eventos
Defesa de Tese - Janaína Welle
O Mito da Filosofia da Cultura: "100 anos de O Pensamento Mítico de Ernst Cassirer
CICLO PERMANENTE DE FORMAÇÃO E EXTENSÃO DO PPGCP-UNICAMP
Cecult 30 anos: História Social Hoje
Defesas Agendadas
11 de Dec | 09:00
Tese - Lucas lazarini Valente
10 de Dec | 14:00
Dissertação - Wender Santos
10 de Dec | 09:00
Tese - Lucas Carvalho Lima Teixeira
03 de Dec | 15:45
14 de Nov | 14:00
Tese - Otávio Vasconcelos Vieira
30 de Oct | 16:00
Tese - Graziele Gonçalves de Lima
29 de Oct | 14:00
Dissertação - Rodrigo Borsatti Cardoso
24 de Oct | 10:00